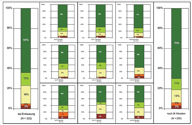
Erfolgsaussichten der Chinesischen Behandlung bei Asthma
Laut einer aktuellen Studie der Klinik am Steigerwald profitieren 81 Prozent der Patienten mit Atemwegserkrankungen wie Asthma von einer stationären Behandlung mit Chinesischer Medizin.
Asthma – Krankheit ohne Ort

Heuschnupfen, Asthma und Neurodermitis sind auch unter dem Begriff „Atopie“ bekannt. Diese Krankheiten haben laut Chinesischer Medizin einen gemeinsamen Ursprung, auch wenn sie an unterschiedlichen Orten und in anderer Gestalt auftreten. Deshalb treten Asthma und Neurodermitis so häufig zusammen auf.
Lesen Sie hier einen Fachbeitrag von Dr. Christian Schmincke zum Thema Atopie
Erfahrungen einer Patientin
Asthma

Ute Pieschel pensionierte Lehrerin Jahrgang 1947 Asthma/Schuppenflechte
„Kortison und Asthma-Spray waren meine täglichen Begleiter... Nach 6 Wochen benötigte ich kein Asthma-Spray mehr... 4 Monate später auch kein Kortison mehr.“ 2004 litt Ute noch unter starkem Asthma mit starken Luftproblemen. Kortison und Asthmaspray waren ihre täglichen Begleiter. Nach einem…
weiterlesen

